Kellyjev kriterij u klađenju

Kellyjev kriterij u klađenju

Kellyjev kriterij je matematička formula koju profesionalni kladioničari i investitori koriste kako bi odredili optimalnu veličinu uloga. Dok se amateri klade “po osjećaju”, Kellyjev kriterij vam točno izračunava koliki postotak svog ukupnog novca (bankrolla) trebate staviti na određenu okladu kako biste maksimizirali dugoročni rast, a minimizirali rizik od bankrota.

Osnovna ideja je jednostavna: što je veća prednost (value) koju imate nad kladionicom, to bi ulog trebao biti veći. Ako prednosti nema, Kelly savjetuje da se uopće ne kladite.

Formula Kellyjeva kriterija

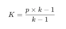
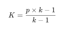
Standardna formula za izračun uloga izgleda ovako:

Gdje su varijable:

  • K: Postotak vašeg ukupnog novca koji trebate uložiti (rezultat koji tražimo).
  • p: Vaša procjena vjerojatnosti da će oklada proći (izražena u decimalama, npr. 0.55 za 55%).
  • k: Decimalni koeficijent koji nudi kladionica (npr. 2.10).

Primjer u praksi

Zamislimo da igrate na utakmicu gdje kladionica nudi koeficijent 2.10. Vi ste napravili analizu i sigurni ste da ta momčad ima 52% šanse za pobjedu.

  1. k = 2.10
  2. p = 0.52

Uvrštavamo u formulu:

Rezultat je 0.083, što znači da bi, prema Kellyju, trebali uložiti 8.3% svog ukupnog budžeta na tu okladu.

Zašto je Kellyjev kriterij “opasan”?

Iako je matematički savršen, Kellyjev kriterij ima jednu veliku manu u stvarnom svijetu: osjetljivost na vašu procjenu vjerojatnosti (p).

  • Precijenjena prednost: Ako ste subjektivni i mislite da momčad ima 60% šanse, a zapravo ima samo 52%, formula će vam reći da uložite previše novca. Par takvih grešaka i vaš bankroll će nestati.
  • Velika varijanca: Ulaganje 8% ili 10% budžeta na jedan par je za većinu igrača previše agresivno. Nekoliko nesretnih poraza zaredom može vam prepoloviti budžet.

Rješenje: “Fractional Kelly” (Djelomični Kelly)

Zbog navedenih rizika, gotovo nitko od profesionalaca ne koristi “puni Kelly”. Umjesto toga koriste Half-Kelly (1/2) ili Quarter-Kelly (1/4).

  • Ako formula kaže ulog od 8%, vi uložite 4% (polovica) ili 2% (četvrtina).
  • Prednost: Ovim pristupom sporije povećavate bankroll, ali drastično smanjujete rizik od bankrota i lakše podnosite neizbježne “crne nizove”.

Zaključak: Je li to za vas?

Kellyjev kriterij je koristan jer vas tjera da razmišljate o vrijednosti (value). On vas uči da se ne kladite samo zato što mislite da će netko pobijediti, već samo ako je ponuđeni koeficijent bolji od realne šanse.

Ako niste spremni sami precizno izračunavati vjerojatnosti u postocima, Kelly vam neće puno pomoći. Ali ako težite profesionalizmu, ovo je alat koji odvaja “kockare” od “matematičkih investitora”.

Specijalni bonusi i promocije

Favbet kladionica
Bonus do €700
Favbet kladionica

Prema mnogima najbolja kladionica u Hrvatskoj koja uz najveće kvote, najbogatiju ponudu nudi i najbolje bonuse na prvu registraciju.

Popup Image
Ponuda skrojena samo za tebe
Pretplati se i uzmi 100% bonus do 500€!
Please enter a valid email address.
👍
Hvala na pretplati!

Sada si dio naše zajednice. Obavještavat ćemo te o najboljim savjetima i strategijama za klađenje.